专注动物矿物元素营养与健康

关注公众号 关注视频号

联系电话400-027-1997

联系电话19183816468

long8唯一官网-新闻中心

热搜关键词: 蛋鸡饲料添加剂厂家 生物饲料添加剂 添加剂饲料 饲料添加剂厂家

富硒蛋知多少?

来源:long8唯一官网微营养 | 发布日期:2021-06-08

富硒食品

  硒是一种必须的微量元素,但我国72%的土地处于缺硒状态。随着生活质量的提高,富硒食品逐渐被消费者认可。

1、富硒标准

  富硒茶叶(NY/T 600)、富硒大米(GB/T 22499-2008)、富硒水(GB 8537-2008)已有国标或行标,但富硒鸡蛋目前缺乏国家和行业标准,且卫生标准(GB 2762—2012)《食品中污染物限量标准》已废除硒的最高限量。中国营养学会针对不同人群建议补硒量如下(表1)。

饲料添加剂

  通过(表1)可知除严重疾病患者,日常补硒量应为25-100ug。如果按照每天1个鸡蛋,每个鸡蛋60g计算,蛋硒浓度则为0.42-1.67ppm是富硒鸡蛋的合适浓度。

饲料添加剂

2、酵母硒在富硒蛋上的应用

  Cuiling Pan等(2007)年,通过在68周龄罗曼蛋日粮鸡补充不同浓度的酵母硒和亚硒酸钠,结果显示有机硒沉积效率显著高于无机硒,且高剂量的酵母硒沉积存在明显的时间效应(表 2)。

饲料添加剂

  酵母硒是目前市场使用最广泛、富集效果好的有机硒。 Lu J 等(2018)年,在海兰褐壳蛋鸡以亚硒酸钠(SS)和酵母硒(SY)补充0.3ppm,酵母硒显著提高蛋硒含量(图 1)

饲料添加剂

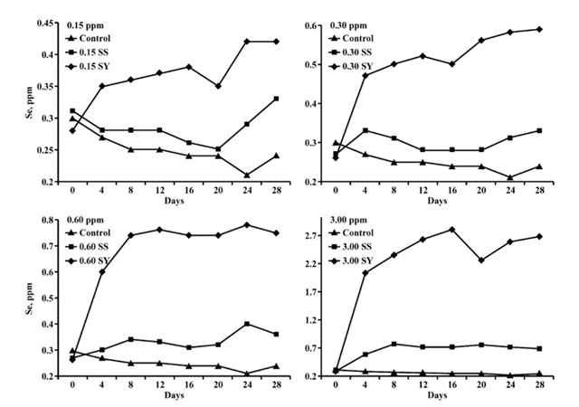
  Payne R L (2005)年,在36周龄海兰褐蛋鸡日粮补充不同浓度的亚硒酸钠和酵母硒,结果证明3.0ppm的酵母硒可使蛋硒浓度达到2.7ppm ,3.0ppm亚硒酸钠可使蛋硒沉积达到0.6ppm(图 2)。

饲料添加剂

3、总结 

  饲料中补充酵母硒能显著提高蛋硒沉积。超高剂量的亚硒酸钠虽然也能达到富硒,但高剂量的亚硒酸钠能造成慢性中毒,不利于在蛋鸡上的应用。总结前人研究结果:富硒蛋的生产饲料中最低应补充酵母硒0.6ppm,且应在补硒后2周开始收蛋。

饲料添加剂

  四川long8唯一官网生物科技集团有限公司,在全球拥有近2000家客户,产品覆盖30多个国家和地区。涉及添加剂饲料,生物饲料添加剂,蛋鸡饲料添加剂,市场占有率达20%。

  [1] Lu J, Qu L, Shen M M, et al. Comparison of dynamic change of egg selenium deposition after feeding sodium selenite or selenium-enriched yeast.[J]. Poult Sci, 2018.
  [2] Cuiling Pan ?, Kehe Huang , ?, Yuxin Zhao ?, et al. Effect of Selenium Source and Level in Hen's Diet on Tissue Selenium Deposition and Egg Selenium Concentrations[J]. J Agric Food Chem, 2007, 55(3):1027-1032.
  [3] Payne R L, Lavergne T K, Southern L L. Effect of inorganic versus organic selenium on hen production and egg selenium concentration.[J]. Poultry Science, 2005, 84(2):232.

【本文标签】 long8唯一官网 饲料添加剂

【责任编辑】

最新资讯

sitemap地图