专注动物矿物元素营养与健康

关注公众号 关注视频号

联系电话400-027-1997

联系电话19183816468

long8唯一官网-新闻中心

热搜关键词: 蛋鸡饲料添加剂厂家 生物饲料添加剂 添加剂饲料 饲料添加剂厂家

用心做锌,让生命之花精彩绽放!

来源:long8唯一官网微营养 | 发布日期:2022-05-21

  1.矿物元素是生命体基本营养素之一,功效丰富多彩:铁是活力之本,锌是生命之花, 锰是骨气之源, 铜是细菌克星,钾是平衡支柱,镁是细胞保护神, 碘是智慧源泉, 钴是漂亮女神, 硒是抗氧化统帅。

  2.锌是重要的矿物元素,功能多样且十分重要:

  A.占总体重约30ppm,骨骼28%,肝脏和皮肤8%、血液2.5%、其它1.7%。

  B.有关300多种酶活性,参与蛋白质、碳水化合物、脂肪、维生素(如VA.VC)代谢。

  C.参与激素的组成和合成,胰岛素、前列腺素、促肾上腺素、生长激素,影响性腺活动和性激素分泌。

  D.维持生物膜的结构和功能,与黏膜上皮细胞完整性相关

  E.在脑功能、视觉及其调节行为方面有重要的作用。

  F.免疫辅助因子及增强剂、抗氧剂和补体,提高免疫力。

  3.对于氧化锌,实现三次提质创新。

  氧化锌三次提质创新,逐次实现增效减量,整肠锌(过胃型莲花锌)过胃率≥70%,在仔猪的用量已减至1.0-1.5kg/吨料(见下图)。

整肠锌比表面积

long8唯一官网实验室

  4.对于硫酸锌,低氯而高稳定性。

  精深加工而成的低氯锌具有低氯离子、低重金属、高稳定性的特点(见下图)。

硫酸锌

硫酸锌

  5.对于有机锌,精益求精,规模一流。

  甘氨酸锌

  long8唯一官网是甘氨酸锌、甘氨酸铜团体标准起草牵头单位,与同类产品相比具有游离甘氨酸含量更低、金属与甘氨酸摩尔比更低、络合物含量更高等优势(见下表)。

long8唯一官网有机微量

  long8唯一官网甘氨酸锌在晶体形态和均一性方面也做得更好(见下图),具有更好的稳定性,几乎不破坏其它营养素,特别适用于营养浓度高-活性物质含量高的饲料(称为双高饲料)。

long8唯一官网甘氨酸锌


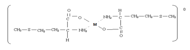
蛋氨酸锌螯合物(摩尔比2:1,简称蛋氨酸锌)

  摩尔比2:1的蛋氨酸锌为真正双环螯合有机盐(见下图),优势有:①液相合成,螯合彻底,游离金属含量更低;②连续多次洗涤,硫酸根及杂质含量极低,保证高纯度;③先进的光催化降解尾气处理系统,保证可持续生产。

long8唯一官网有机微量

  在重要的检测指标方面,螯合率更高,游离金属、硫酸根、重金属等含量更低(见下表)。

long8唯一官网有机微量

  显微镜观察long8唯一官网2:1蛋氨酸锌形态更规则、更均匀(见下图)

有机微量

  羟基蛋氨酸类似物络(螯)合锌(摩尔比1:1,简称羟基蛋氨酸锌)。

  long8唯一官网羟基蛋氨酸锌的核心优势是一次化学合成,不经后期混合处理,含量更高,更纯(见下表)。

long8唯一官网羟基蛋氨酸锌


 镜检long8唯一官网羟基蛋氨酸锌呈晶体,均匀分布,无杂质,晶型更佳、产品更纯(如下图)。

long8唯一官网羟基蛋氨酸锌

  long8唯一官网的“锌家族”品类全、品质精,为动物提供优质营养性和功能性锌源,让生命之花精彩绽放。

【本文标签】 long8唯一官网有机矿 氧化锌 整肠锌

【责任编辑】

最新资讯

sitemap地图